models of microeconomics
I just wanted to explore a little more some of the topics covered in the fantastic Applied Econometrics with R. All of these examples come from their text in Chapter 3.
library(AER)
Binary Depedent Modeling
data("SwissLabor")
head(SwissLabor)
participation income age education youngkids oldkids foreign
1 no 10.78750 3.0 8 1 1 no
2 yes 10.52425 4.5 8 0 1 no
3 no 10.96858 4.6 9 0 0 no
4 no 11.10500 3.1 11 2 0 no
5 no 11.10847 4.4 12 0 2 no
6 yes 11.02825 4.2 12 0 1 no
swiss_probit <- glm(participation ~ . + I(age^2), data = SwissLabor, family = binomial(link = "probit"))
summary(swiss_probit)
Call:
glm(formula = participation ~ . + I(age^2), family = binomial(link = "probit"),
data = SwissLabor)
Deviance Residuals:
Min 1Q Median 3Q Max
-1.9191 -0.9695 -0.4792 1.0209 2.4803
Coefficients:
Estimate Std. Error z value Pr(>|z|)
(Intercept) 3.74909 1.40695 2.665 0.00771 **
income -0.66694 0.13196 -5.054 4.33e-07 ***
age 2.07530 0.40544 5.119 3.08e-07 ***
education 0.01920 0.01793 1.071 0.28428
youngkids -0.71449 0.10039 -7.117 1.10e-12 ***
oldkids -0.14698 0.05089 -2.888 0.00387 **
foreignyes 0.71437 0.12133 5.888 3.92e-09 ***
I(age^2) -0.29434 0.04995 -5.893 3.79e-09 ***
---
Signif. codes: 0 '***' 0.001 '**' 0.01 '*' 0.05 '.' 0.1 ' ' 1
(Dispersion parameter for binomial family taken to be 1)
Null deviance: 1203.2 on 871 degrees of freedom
Residual deviance: 1017.2 on 864 degrees of freedom
AIC: 1033.2
Number of Fisher Scoring iterations: 4
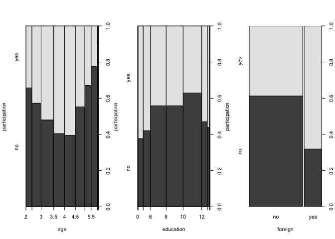
Visualisation of the Data
par(mfrow=c(1,3))
plot(participation ~ age, data = SwissLabor, ylevels = 2:1)
plot(participation ~ education, data = SwissLabor, ylevels = 2:1)
plot(participation ~ foreign, data = SwissLabor, ylevels = 2:1)

Retrieving Average Marginal Effects
Average of the sample marginal effects is determined by the following:
fav <- mean(dnorm(predict(swiss_probit, type = "link")))
fav * coef(swiss_probit)
(Intercept) income age education youngkids oldkids
1.241929965 -0.220931858 0.687466185 0.006358743 -0.236682273 -0.048690170
foreignyes I(age^2)
0.236644422 -0.097504844
library(margins)
Goodness of Fit
This can be evauluated with a pseudo R^2 called _McFadden’s pseudo-R^2.
swiss_probit0 <- update(swiss_probit, formula = . ~ 1)
1-as.vector(logLik(swiss_probit)/logLik(swiss_probit0))
[1] 0.1546416
table( true = SwissLabor$participation, pred = round(fitted(swiss_probit)))
$```
pred
true 0 1
no 337 134
yes 146 255
``` r
library(ROCR)
pred <- prediction(predictions = fitted(swiss_probit), labels = SwissLabor$participation)
$
par(mfrow = c(1,2))
plot(performance(pred, "acc"))
plot(performance(pred, "tpr", "fpr"))
abline(0,1, lty = 2)

Residuals and Diagnostics
coeftest(swiss_probit, vcov. = sandwich)
z test of coefficients:
Estimate Std. Error z value Pr(>|z|)
(Intercept) 3.749091 1.327072 2.8251 0.004727 **
income -0.666941 0.127292 -5.2395 1.611e-07 ***
age 2.075297 0.398580 5.2067 1.922e-07 ***
education 0.019196 0.017935 1.0703 0.284479
youngkids -0.714487 0.106095 -6.7344 1.646e-11 ***
oldkids -0.146984 0.051609 -2.8480 0.004399 **
foreignyes 0.714373 0.122437 5.8346 5.391e-09 ***
I(age^2) -0.294344 0.049527 -5.9430 2.798e-09 ***
---
Signif. codes: 0 '***' 0.001 '**' 0.01 '*' 0.05 '.' 0.1 ' ' 1
Count Data
data("RecreationDemand")
head(RecreationDemand)
trips quality ski income userfee costC costS costH
1 0 0 yes 4 no 67.59 68.620 76.800
2 0 0 no 9 no 68.86 70.936 84.780
3 0 0 yes 5 no 58.12 59.465 72.110
4 0 0 no 2 no 15.79 13.750 23.680
5 0 0 yes 3 no 24.02 34.033 34.547
6 0 0 yes 5 no 129.46 137.377 137.850
rd_poisson <- glm(trips ~ ., data = RecreationDemand, family = poisson())
coeftest(rd_poisson)
z test of coefficients:
Estimate Std. Error z value Pr(>|z|)
(Intercept) 0.2649934 0.0937222 2.8274 0.004692 **
quality 0.4717259 0.0170905 27.6016 < 2.2e-16 ***
skiyes 0.4182137 0.0571902 7.3127 2.619e-13 ***
income -0.1113232 0.0195884 -5.6831 1.323e-08 ***
userfeeyes 0.8981653 0.0789851 11.3713 < 2.2e-16 ***
costC -0.0034297 0.0031178 -1.1001 0.271309
costS -0.0425364 0.0016703 -25.4667 < 2.2e-16 ***
costH 0.0361336 0.0027096 13.3353 < 2.2e-16 ***
---
Signif. codes: 0 '***' 0.001 '**' 0.01 '*' 0.05 '.' 0.1 ' ' 1
Overdispersion??
dispersiontest(rd_poisson)
Overdispersion test
data: rd_poisson
z = 2.4116, p-value = 0.007941
alternative hypothesis: true dispersion is greater than 1
sample estimates:
dispersion
6.5658
Yup
dispersiontest(rd_poisson, trafo = 2)
Overdispersion test
data: rd_poisson
z = 2.9381, p-value = 0.001651
alternative hypothesis: true alpha is greater than 0
sample estimates:
alpha
1.316051
Negative Binomial
library(MASS)
rd_nb <- glm.nb(trips ~ ., data = RecreationDemand)
coeftest(rd_nb)
z test of coefficients:
Estimate Std. Error z value Pr(>|z|)
(Intercept) -1.1219363 0.2143029 -5.2353 1.647e-07 ***
quality 0.7219990 0.0401165 17.9976 < 2.2e-16 ***
skiyes 0.6121388 0.1503029 4.0727 4.647e-05 ***
income -0.0260588 0.0424527 -0.6138 0.53933
userfeeyes 0.6691676 0.3530211 1.8955 0.05802 .
costC 0.0480087 0.0091848 5.2270 1.723e-07 ***
costS -0.0926910 0.0066534 -13.9314 < 2.2e-16 ***
costH 0.0388357 0.0077505 5.0107 5.423e-07 ***
---
Signif. codes: 0 '***' 0.001 '**' 0.01 '*' 0.05 '.' 0.1 ' ' 1
(rd_results <- rbind(poisson = logLik(rd_poisson), negative_binomial = logLik(rd_nb)))
[,1]
poisson -1529.4313
negative_binomial -825.5576
Improvement!
rbind(
obs = table(RecreationDemand$trips)[1:10], exp = round(sapply(0:9, function(x)sum(dpois(x, fitted(rd_poisson)))))
$)
0 1 2 3 4 5 6 7 8 9
obs 417 68 38 34 17 13 11 2 8 1
exp 277 146 68 41 30 23 17 13 10 7
This model is under-predicting the zero number of trips. Perhaps it is time to use a zero-inflated model that will help to correct this undercounting.
Thus the linear predictor portion uses all of the independent variables and the inflation component to be a function of quality and income.
library(pscl)
rd_zinb <- zeroinfl(trips ~ . | quality + income, data = RecreationDemand, dist = "negbin")
summary(rd_zinb)
Call:
zeroinfl(formula = trips ~ . | quality + income, data = RecreationDemand,
dist = "negbin")
Pearson residuals:
Min 1Q Median 3Q Max
-1.08868 -0.20032 -0.05687 -0.04525 39.95749
Count model coefficients (negbin with log link):
Estimate Std. Error z value Pr(>|z|)
(Intercept) 1.096094 0.257075 4.264 2.01e-05 ***
quality 0.169019 0.053135 3.181 0.001468 **
skiyes 0.500479 0.134496 3.721 0.000198 ***
income -0.069203 0.043802 -1.580 0.114130
userfeeyes 0.542557 0.282819 1.918 0.055062 .
costC 0.040427 0.014522 2.784 0.005372 **
costS -0.066202 0.007746 -8.547 < 2e-16 ***
costH 0.020609 0.010235 2.014 0.044061 *
Log(theta) 0.189859 0.113134 1.678 0.093312 .
Zero-inflation model coefficients (binomial with logit link):
Estimate Std. Error z value Pr(>|z|)
(Intercept) 5.7184 1.5596 3.667 0.000246 ***
quality -8.3596 3.9380 -2.123 0.033768 *
income -0.2516 0.2847 -0.884 0.376832
---
Signif. codes: 0 '***' 0.001 '**' 0.01 '*' 0.05 '.' 0.1 ' ' 1
Theta = 1.2091
Number of iterations in BFGS optimization: 26
Log-likelihood: -722 on 12 Df
Let’s check the fit!
rbind(
obs = table(RecreationDemand$trips)[1:10],
$ exp = round(colSums(predict(rd_zinb, type = "prob")[,1:10]))
)
0 1 2 3 4 5 6 7 8 9
obs 417 68 38 34 17 13 11 2 8 1
exp 433 47 35 27 20 16 12 10 8 7
Looks a great deal better!
Hurdle Models
Useful for an excessive number of zeros (or a small number of zeros). This is more widely used in economics according to the text. The hurdle consists of two parts
- Binary part given by a count distribution that is right censored at y = 1 (e.g. is the hurdle crossed)
- A count part given by a left-truncated distribution at y = 1 (e,g, if y > 0, how large is y)
rd_hurdle <- hurdle(trips ~ . | quality + income, data = RecreationDemand, dist = "negbin")
rbind(
obs = table(RecreationDemand$trips)[1:10],
$ exp = round(colSums(predict(rd_hurdle, type = "prob")[,1:10]))
)
0 1 2 3 4 5 6 7 8 9
obs 417 68 38 34 17 13 11 2 8 1
exp 417 74 42 27 19 14 10 8 6 5
Censored Depdent Variables
A Tobit model posits that Gaussian linear predictor exists for a latent variable, exists. IT is reported only if the latent variable is positive.
Thus:
data("Affairs")
head(Affairs)
affairs gender age yearsmarried children religiousness education occupation
4 0 male 37 10.00 no 3 18 7
5 0 female 27 4.00 no 4 14 6
11 0 female 32 15.00 yes 1 12 1
16 0 male 57 15.00 yes 5 18 6
23 0 male 22 0.75 no 2 17 6
29 0 female 32 1.50 no 2 17 5
rating
4 4
5 4
11 4
16 5
23 3
29 5
plot(affairs ~ gender, data = Affairs)

aff_tob <- tobit(affairs ~ age + yearsmarried + religiousness + occupation + rating, data = Affairs)
summary(aff_tob)
Call:
tobit(formula = affairs ~ age + yearsmarried + religiousness +
occupation + rating, data = Affairs)
Observations:
Total Left-censored Uncensored Right-censored
601 451 150 0
Coefficients:
Estimate Std. Error z value Pr(>|z|)
(Intercept) 8.17420 2.74145 2.982 0.00287 **
age -0.17933 0.07909 -2.267 0.02337 *
yearsmarried 0.55414 0.13452 4.119 3.80e-05 ***
religiousness -1.68622 0.40375 -4.176 2.96e-05 ***
occupation 0.32605 0.25442 1.282 0.20001
rating -2.28497 0.40783 -5.603 2.11e-08 ***
Log(scale) 2.10986 0.06710 31.444 < 2e-16 ***
---
Signif. codes: 0 '***' 0.001 '**' 0.01 '*' 0.05 '.' 0.1 ' ' 1
Scale: 8.247
Gaussian distribution
Number of Newton-Raphson Iterations: 4
Log-likelihood: -705.6 on 7 Df
Wald-statistic: 67.71 on 5 Df, p-value: 3.0718e-13
linearHypothesis(aff_tob, c("age = 0", "occupation = 0"), vcov = sandwich)
Linear hypothesis test
Hypothesis:
age = 0
occupation = 0
Model 1: restricted model
Model 2: affairs ~ age + yearsmarried + religiousness + occupation + rating
Note: Coefficient covariance matrix supplied.
Res.Df Df Chisq Pr(>Chisq)
1 596
2 594 2 4.9078 0.08596 .
---
Signif. codes: 0 '***' 0.001 '**' 0.01 '*' 0.05 '.' 0.1 ' ' 1
Age and occupation are joinly weakyl significant.
Ordinal Response Variables
library(MASS)
data("BankWages")
bank_polr <- polr(job~ education + minority, data = BankWages, subset = gender == "male", Hess = TRUE)
coeftest(bank_polr)
z test of coefficients:
Estimate Std. Error z value Pr(>|z|)
education 0.869998 0.093071 9.3476 < 2.2e-16 ***
minorityyes -1.056438 0.411994 -2.5642 0.01034 *
custodial|admin 7.951359 1.076932 7.3833 1.544e-13 ***
admin|manage 14.172125 1.474364 9.6124 < 2.2e-16 ***
---
Signif. codes: 0 '***' 0.001 '**' 0.01 '*' 0.05 '.' 0.1 ' ' 1
Reuse
Citation
@online{dewitt2018,
author = {Michael E. DeWitt},
title = {models of microeconomics},
date = {2018-09-16},
url = {https://michaeldewittjr.com/blog/2018-09-16-models-of-microeconomics/},
langid = {en}
}
Michael E. DeWitt. September 16, 2018. "models of microeconomics". https://michaeldewittjr.com/blog/2018-09-16-models-of-microeconomics/.